Atmospheres of Hot Rocky Planets with Ultra-Short Orbital Period
Rocky exoplanets with ultra-short orbital period are ideal targets for observations and offer a unique opportunity to study planets in extremely hot environment. Due to atmospheric escape, these planets are more likely to be airless like Mercury or have a secondary atmosphere (non-hydrogen dominated) like Earth. Charaterizing secondary atmospheres of such exoplanets provides crucial insights into atmospheric escape, redox and equilibrium chemistry, and the exchange with the interior.

Orbital periods and radii of confirmed exoplanets as of May 2025. The planets located in the red box are rocky exoplanets with ultra-short orbital periods. The color of each point represents the equilibrium temperature of the planet, ranging from 500 to 3,000 K.
Despite extensive observations, most current interpretations predominantly relied on 1D models with non-self-consistent heat redistribution or oversimplified 3D models with unrealistic radiative transfer. However, few 3D models with realistic radiative transfer have been applied to these hot (non-habitable) rocky exoplanets, mainly due to the incompatibility of standard GCM radiative transfer codes with the extremely high temperatures.

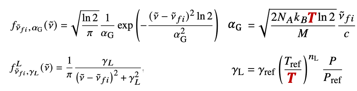
Gaussian and Lorentz profile for absorption line broadening calculations.The coefficients of determination αG (half-width at half-maximum) and αL strongly depends on temperature (highlighted in red). More information on HITRAN.
Here we perform non-grey GCM simulations using the custom correlated-k coefficients developed from the ExoMol database. We first use ExoCross to calculated the absorption cross section from the absorption lines at a wide range of temperatures and pressures. Then we develop custom correlated-k coefficients from the absorption cross section (a paper describing the correlated-k method here) and validate them against line-by-line radiative transfer PyRADS. We then perform non-grey GCM simulations, Isca coupled with SOCRATES for planets including 55 Cancri e.

We have some preliminary results for the reinterpretation of the JWST observations (Hu et al. 2024) of 55 Cancri e. Stay tuned for our upcoming paper.



